Sal(最小自相关长度)
指自相关函数最快向指定值s(默认为0.2)衰减方向的水平距离。
关于自相关函数
自相关是指图像处理中,测量与偏移图像自身坐标而成的图像的整合程度标准。
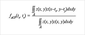
计算Sal、Str时使用的自相关函数如下所示。

为简化该函数的说明,下面仅对X方向进行说明。
首先,假设有如下所示的高度差数据。

该数据的自相关形式如下。

简单来说,自相关函数就是求出高度数据与高度数据自身偏移后数据的重叠部分。
(下图黄色区域。)
若偏移量小,则重叠部分大,因此自相关也变大。
若偏移量大,则重叠部分小,因此自相关也变小。

高度差变化较大时,即使偏移量很小,也会引起较大的形状变化,因此自相关函数会立即衰减。若只有平缓的形状,则加大偏移量后形状才会产生变化,因此自相关函数轻易不会衰减。
Sal可求出自相关最快衰减前的距离,因此可测定是否存在表面高度急剧变化的部位。
此外,Str可求出自相关最快衰减前的距离与最慢衰减前的距离之比,因此可测定有无条纹。
